我国科研新成果!量子直接通信有望进入实际应用
来源:新华网
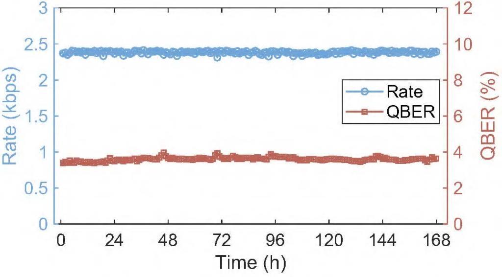
新华社北京2月22日电(记者刘祯)记者22日从北京量子信息科学研究院获悉,我国科研团队提出了单向量子直接通信理论,并成功研制出实用化系统,创造了在104.8km标准光纤通信实验测试中连续168小时、速率为2.38kbps的稳定传输纪录,量子直接通信从理论构想迈向实际应用阶段。
此项研究由北京量子信息科学研究院与清华大学、北方工业大学相关团队合作完成,相关成果论文已在学术期刊《科学进展》发表。

单向量子直接通信理论方案。(北京量子信息科学研究院供图)
量子直接通信由清华大学龙桂鲁团队原创提出,它借助量子态实现安全通信,具有窃听感知、阻止窃听、兼容现有网络、简化管理流程以及隐蔽传输等五大特性,为保障信息传输安全提供了全新解决方案。
如何利用能量极低且极易受干扰的量子态,在高噪声、高损耗以及存在窃听风险的量子信道中实现安全可靠的通信,一直是该领域亟待攻克的核心难题。此前研究采用双向协议,通信双方需进行量子态的往返传输,导致系统损耗极大,严重制约了通信性能的提升。
“2022年,我们曾创造了100公里的量子直接通信世界纪录,但速率仅为 0.5bps,仅能传输字数极少的报文。”清华大学教授龙桂鲁介绍,单向传输可将量子态传输距离缩短一半,大幅降低损耗,是提升量子直接通信性能的关键。
此项研究中,科研团队成功突破了高噪高损信道编码、信道掩码增容、高速量子态调制解调等系列关键技术,提出单向量子直接通信理论方法,利用同一组光量子态同时实现了信息的安全传输与密钥协商,成功解决了量子直接通信的技术难题,还完成了实用化通信端机的研制。与2022年的系统相比,速率提升了4760倍,极大提升了量子直接通信的性能。

信息传输速率与量子比特误码率测试结果。(北京量子信息科学研究院供图)
“这项研究成果开启了量子直接通信实用化建设的新征程。未来,量子直接通信系统有望广泛应用于政务、金融等对信息安全要求极高的领域,切实增强通信安全性。”龙桂鲁说。
